
近日,我所催化基础国家重点实验室理论催化创新特区研究组(05T8组)肖建平研究员团队与天津大学张兵教授团队合作,...
近日,我所纳米反应器与反应工程学研究组(05T7组)刘健研究员团队与中科院青岛生物能源与过程研究所王光辉研究员...
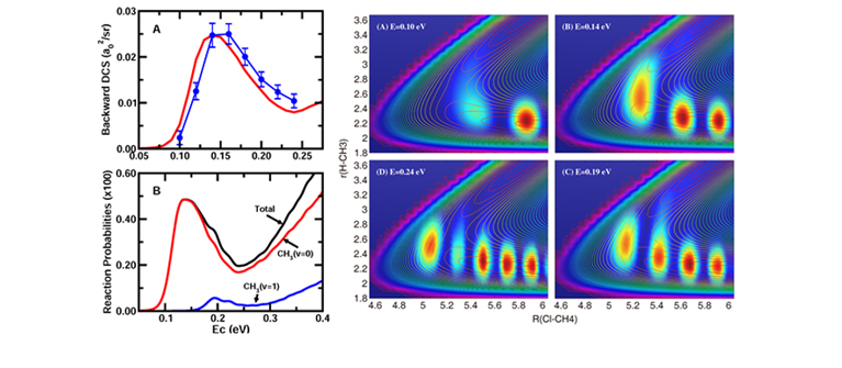
近日,我所催化基础国家重点实验室生物无机催化研究组(507组)叶生发研究员团队与台湾师范大学李位仁教授和马克思...
6月30日上午,我所在会议中心隆重召开庆祝中国共产党成立99周年大会。所党委委员、纪委委员,受表彰的先进集体代表...
近日,我所高分辨分离分析及代谢组学研究组(1808组)许国旺研究员团队对前期提出并发展的拟靶向代谢组学方法进行...
近日,我所催化与新材料研究室黄延强研究员、张涛院士团队在调控费托合成反应中CO解离的作用机制方面取得进展,研...
6月12日,在第二届国际清洁能源创新使命领跑者颁奖大会上(Mission Innovation Champions Awards Ceremony),我所李...
6月15日,加拿大工程院(Canadian Academy of Engineering)在其官网公布了2020年新增院士名单。中国科学院副院长...
近日,我所分子反应动力学国家重点实验室、大连光源科学研究室江凌研究员和杨学明院士团队与清华大学李隽教授团队...