
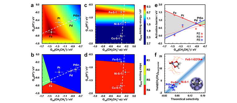
近日,我所无机膜与催化新材料研究组(504组)张鹏副研究员、朱雪峰研究员和杨维慎研究员团队与美国南卡罗来纳大学...
近日,我所催化与新材料研究室乔波涛研究员团队与催化基础国家重点实验室李杲研究员团队合作,在金属—载体强相互...
日前,由我所开发的重质油悬浮床加氢技术在克拉玛依市独山子区完成千吨级中试装置建设并开车成功。
石油是当今...
近日,我所催化与新材料研究室乔波涛研究员和张涛院士团队受邀撰写了题为“Single-Atom Catalysts Based on the Me...
近日,我所催化基础国家重点实验室叶生发研究员团队与北京大学席振峰教授和张文雄教授研究团队合作,成功揭示了非...
11月9日,我所刘中民院士团队开发的、具有自主知识产权的“第三代甲醇制烯烃(DMTO-Ⅲ)技术”在北京通过了由中国...
近日,我所无机膜与催化新材料研究组(504组)杨维慎研究员、班宇杰副研究员团队在金属—有机框架(Metal-Organic ...
近日,我所催化与新材料研究室李为臻研究员、乔波涛研究员、张涛院士团队与北京大学马丁教授合作,在高稳定Pd基甲...
近日,分子反应动力学国家重点实验室、大连光源科学研究室江凌研究员和杨学明院士团队与清华大学李隽教授团队合作...