2014年秋季Seminar考核通过名单

各位研究生同学:

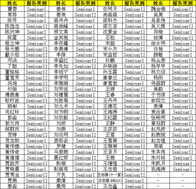
  2014年秋季Seminar考核通过名单如下:

  

  联系人:杨华

  电话:84379457

  邮箱:yanghua@dicp.ac.cn

版权所有 © 中国科学院大连化学物理研究所 本站内容如涉及知识产权问题请联系我们 备案号:辽ICP备05000861号-1 辽公网安备21020402000367号