近日,我所1809组王方军博士、邹汉法研究员等人在高通量多重蛋白质组定量分析方法研究方面取得新进展,发展了一级质谱(MS1)谱图中六种不同蛋白质样品同时规模化定量分析的同位素标记方法,并将该方法应用于细胞蛋白质合成-降解周转更新分析,分析通量是常规同位素标记方法的三倍,研究成果发表在自然出版社新创立的综合性刊物《科学报告》上(Scientific Reports, 2013, 3, 1827. doi: 10.1038/srep01827, http://www.nature.com/srep/2013/130510/srep01827/full/srep01827.html)。
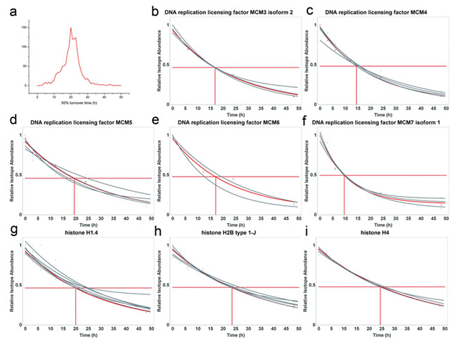
基于一级质谱(MS1)的蛋白质组学定量分析由于定量精度高,是现今蛋白质组学定量分析中应用最为广泛的分析技术。由于同位素标记的限制,现有的方法最多可以在一次液相色谱-质谱联用分析中定量三种不同的蛋白质样品,极大限制了蛋白质组学定量分析的通量。王方军博士、邹汉法研究员等人将体内氨基酸同位素标记方法与体外二甲基化同位素标记方法进行有机组合,实现了六种不同蛋白质样品的差异标记并在单次实验中实现了相对定量分析。该六重同位素标记策略还可以应用于细胞中蛋白质的合成及降解速率的高通量分析,成功测定了HeLa细胞中1365个蛋白质的合成-降解周转更新时间。此外,该工作中使用的基于MS1六重蛋白质组学定量及蛋白质周转分析软件系统也由我所自主开发,是国际上首个可以同时定量六个不同蛋白质样品的软件系统。(文/图 程凯)

Quant-ArMone 六重蛋白质组学定量及蛋白质周转分析软件示意图

HeLa细胞内蛋白质降解动态拟合曲线示例






